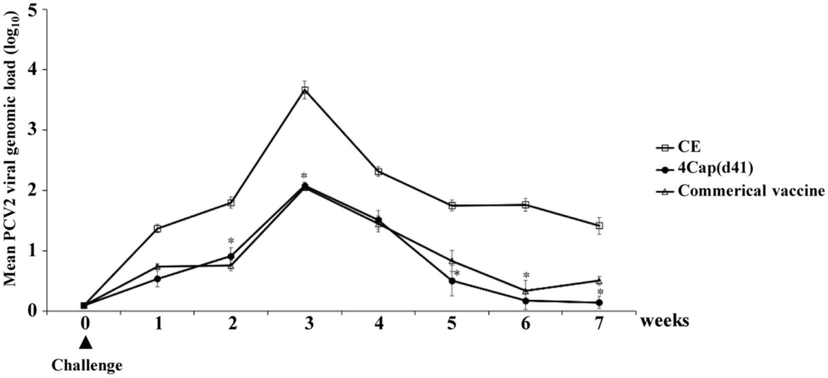
Figure 9

Quantification of PCV2 viral loads in sera from the challenged pigs. 2-month-old SPF pigs were immunized at the base of the ear by the intramuscular route with CE, 4Cap(d41), and commercial vaccines, respectively. Serum samples were collected every week after the first immunization. In the eighth week after the first immunization, all vaccinated pigs were challenged via intranasal injection with 2 ml of PCV2 (105.7TCID50/mL). The 8th week after the first immunization is designated as the 0th week. PCV2 viral loads were detected by real-time quantitative PCR one week post challenge. Data are presented as mean ± SD. Viral loads were determined as the mean of the logarithmic DNA copy number per ml (log copies/ml). An asterisk (*) shows a statistically significant difference between the indicated groups (P < 0.05).